책 내용 질문하기
온라인 채점 결과 문의
도서
개정판 시나공 ITQ OA Master (엑셀&파워포인트2016+한글2020)
페이지
0
조회수
164
작성일
2025-05-17
작성자
심*지
2024_실제 시험장 따라하기
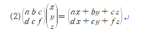
-수식 2 0/20
-결과 X 수식 / 정답 : {pmatrix{a&b&c#d&e&f}} {pmatrix{x#y#z}} = {pmatrix{ax+by+cz#dx+ey+fz}} / 사용자 : {pmatrix{a&b&c#d&e&f}} {pmatrix{x#y#z}} = {pmatrix{ax+&by+&cz#dx+&ey+&fz}}
맞게 했는데 왜 자꾸 틀렸다고 하는 건가요?
답변
2025-05-17 13:33:44
안녕하세요. 길벗 수험서 운영팀입니다.
아래에 노란색으로 표시한 부분이 정답과 달라 틀린것으로 채점되었습니다
{pmatrix{ax+&by+&cz#dx+&ey+&fz}}
아래 빨간색으로 표시한 부분에 왜 띄어쓰기를 하셨나요??

행복한 하루되세요.^^
-
관리자2025-05-17 13:33:44
안녕하세요. 길벗 수험서 운영팀입니다.
아래에 노란색으로 표시한 부분이 정답과 달라 틀린것으로 채점되었습니다
{pmatrix{ax+&by+&cz#dx+&ey+&fz}}
아래 빨간색으로 표시한 부분에 왜 띄어쓰기를 하셨나요??

행복한 하루되세요.^^