책 내용 질문하기
43페이지 7번의 1번보기
도서
2019 시나공 정보처리기능사 필기
페이지
43
조회수
379
작성일
2019-04-26
작성자
탈퇴*원
첨부파일

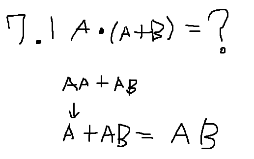
1번보기의 정리는 이렇게도 가능하지 않나요?? 아니면 책에 나온것처럼 결합법칙으로 정리하는게 맞나요?? 

 

 

추가))

69페이지에 소수부분의

8진수 47.625) 10진수 ㅡ> 57.5) 2진수라 되어있는데 2진수 부분이 8진수인데 오타 난건가요??

답변
2019-04-29 09:57:26

안녕하세요 길벗수험서 운영팀입니다.

 

먼저 AB는 될 수 없습니다.

 

A+AB를 간략화 하는 경우 A(1+B)가 될 뿐입니다.

만약 A+AB = AB 라고 전제할 시, AB=A 라는 식이 도출되는데 논리적으로 불가능한 식이 되어버리죠.

(B가 0을 갖는 경우 오류가 발생)

 

-----------

 

해당 오탈 부분 확인하였습니다.

 

학습에 혼란을 드려 사과드립니다. 해당 부분은 즉시 수정하여 정오표에 반영토록 하겠습니다.

 

행복한 하루되세요 :)

  • 관리자
    2019-04-29 09:57:26

    안녕하세요 길벗수험서 운영팀입니다.

     

    먼저 AB는 될 수 없습니다.

     

    A+AB를 간략화 하는 경우 A(1+B)가 될 뿐입니다.

    만약 A+AB = AB 라고 전제할 시, AB=A 라는 식이 도출되는데 논리적으로 불가능한 식이 되어버리죠.

    (B가 0을 갖는 경우 오류가 발생)

     

    -----------

     

    해당 오탈 부분 확인하였습니다.

     

    학습에 혼란을 드려 사과드립니다. 해당 부분은 즉시 수정하여 정오표에 반영토록 하겠습니다.

     

    행복한 하루되세요 :)

· 5MB 이하의 zip, 문서, 이미지 파일만 가능합니다.
· 폭언, 욕설, 비방 등은 관리자에 의해 경고없이 삭제됩니다.